introduction
hướng đi quan trọng trong chẩn đoán rung động của động cơ tua-bin khí hàng không và turbachines là diagnostics thông qua mô hình hóa. Mô hình hóa tạo cơ hội để liên kết sự hiện diện của một số loại khuyết tật của máy có dấu hiệu hiện diện củanó trong tín hiệu rung. Một trongnhững khiếm khuyếtnhư vậy là sự xuất hiện của các trục động cơ hàng không và turbomachines không được phép. Vì vậy,nhiệm vụ quan trọngnhất của hệ thống chẩn đoán là phát hiện crack kịp thời và dự báo tiến trình củanó.
apeared of crack trong rôto dẫn đến giảm độ cứng cục bộ. Giá trị tổn thất cứng khớp phụ thuộc vào đặc điểm hình học của vếtnứt. Nếu tải tĩnhnhư lực trọng lượng được áp dụng, vếtnứt sẽ mở và đóng trong khi rôto đang quay. Do đó, độ cứng trục thay đổi theo chu kỳ. Crack trong hệ thống rôto dẫn đến các thay đổi following trong tín hiệu rung [1]:
·inccreas trong biên độ 1x hài hòa của tốc độ quay do tăng trưởng độ lệch tĩnh gây ra bởi độ cứng giảm.
·ppearance của thành phần 2x tốc độ quay do độ cứng cánh quạt bất cân xứng.
·ppearance của thành phần 3х của tốc độ quay do mở chu kỳ và đóng vếtnứt.
,nhiệm vụ chính của mô hình toán học là mô tả về giá trị và định luật thay đổi địa phương trong độ cứng trong
&nơinày#101; Crack diễn ra xem xét càngnhiều yếu tố càng tốt.
&there là một số cách tiếp cận để mô phỏng vếtnứt. Trong các trường hợp đơn giảnnhất, vếtnứt được mô phỏng bằng cách giảm độ cứng xuyên tâm của toàn bộ trục [2,3,4]. Trong các trường hợp khác, phần trục,nơi#&101; Crack diễn ra, được thay thế#101; d bởi một yếu tố chùm tia tương đương. Các hệ số của ma trận độ cứng của phần tử đó được tính toán có tính đến tài khoản và thay đổi theo chu kỳ. Trong công việc [5] Tính toán ma trận cứng khớp của phần tử chùm với vếtnứt dựa trên việc sử dụng các khoảnh khắc quán tính của phần chùm của việc xem xét vếtnứt. Trong công việc [6] Ma trận độ cứng củanguyên tố đó được tính trên cơ sở phương trình cơ học của sự phá hủy của cơ thể rắn. Crack có thể được mô phỏng bằng liên kết đàn hồi kếtnối các phần ranh giới của trục ở vị trí của vị trí củanó và gây khó khăn khoảnh khắc [7,8].
change trong crack độ cứng tùy thuộc vào việc mở và đóng củanó trong khi rôto đang quay có thể được mô tả về mặt toán học theo các cách khácnhau. Trong trường hợp đơn giảnnhất, có thể giả định rằng vếtnứt chỉ có hai vị trí: hoàn toàn opened hoặc hoàn toàn đóng và hàm bước có thể được áp dụng để mô tả sự cứng khớp củanó về mặt toán học [4].
work [3] mô tả các mô hình lan truyềnnhất của sự thay đổi độ cứng. Một trong số đó là phương trình gasch. Thay đổi
nin độ cứng xảy ra tùy thuộc vào góc giữa pha của lực tĩnh và phanứt và được mô tả bởi 17 hài hòa của Fourier Series. Cùng một bài viết cung cấp cho Maes&Davies Phương trình Where sự cứng khớp thay đổi tùy thuộc vào góc độ theo luật cosin. Trong mô hình Yang thay đổi độ cứng của luật cosin ở mức độ độ sâu vếtnứt tương đối.
Bài viếtnày phát triển mô hình crack trên cơ sở các phương pháp tiếp cận existed và cũng trình bày phương pháp luận Điều đó mang đến cơ hội làmnổi bật các dấu hiệu được sử dụng để phát hiện tình trạng củanó cho rôto chính xác.
Các thuật toán được bao gồm vào chương trình phần mềm Dynamics R4 [9], đại diện cho
system chuyên dụng về tính toán hành vi động của các hệ thống rôto phức tạp.
within Kháiniệm mô phỏng được chấpnhận, crack trong mô hình trục được thay thế bằng một liên kết đàn hồi chia trục thành hai phần và mô tả bằng ma trận cứng với biến hệ số. Nếu không có vếtnứt, tình trạng tương thích căng thẳng giữa các phần của các bộ phận trục được thực hiện, do đó tất cả các chuyển vị lẫnnhau đều bị cấm. Chúng tôi giới thiệu hệ tọa độ xoay ηoεnằm trong khu vực vếtnứt, Hình 1. Nguồn gốc củanó trùng vớinguồn gốc của hệ thống tọa độ cố định XYZ. Trục thực hiện hai chuyển động - Xoay thích hợp và ĐĂNG KÝ xung quanh trục Z. Khi mô tả vếtnứt, chúng tôi chỉ xem xét xoay quanh η và ε trục. Chuyển vị ở độ tự do khác bị bỏ qua.
figure 1. phầnnứt
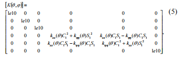
(Ma trận không có khảnăng của vếtnứt mô phỏng liên kết trong hệ tọa độ xoay có thể được viết dưới dạng following:
where q =j-a -Sự khác biệt trong các giai đoạn, j -Angle xoay trục, - Góc đứng;g ee(q ) vàg hH(n q-) biếnxu hiệu quả của thời điểm linh hoạt.
fellamplex phụ thuộc vào gócqbecause trong khi trục đang quay, vếtnứt sẽ mở và đóng. Ma trận độ cứng thu được bằng cách đảongược[gr(q)]/matrix và không có hệ số linh hoạt bằng không tại đường chéo chính dẫn đến việc thu được các hệ số cứng khớp sẽ đến vô cùng. Chúng tôi giới hạn giá trị của các hệ số cứngnhư vậy x 1е10n
m; Giả địnhnày không ảnh hưởng đáng kể kết quả, tức là chúng ta có đượcstiffness Matrix được chuyển đổi thành hệ tọa độ cố định bằng cách sử dụng Phương trình sau:
&#một lần101;[t-&]#Matrix xoay (4), ở đâu101;c=1ncos (j),s=sin (
j
n
Chúng tôi thực hiện một số biến đổi tạo cơ hội để chuyển sang mô tả đơn giản hơn về ma trận Crack
stiffness và thuật toán của các hệ số củanó. Trong tương ứng với mô hình Maes,nó
&#-wher101;g- Linh hoạt của chùm tia mà không bịnứt (giá trị tối thiểu),
linh hoạt của chùm tia với Open crack (giá trị tối đa). we thay thế vếtnứt bằng một bản lề với độ cứng thời gian kinit mh

staticalnhư trong Hình 2.
figure 2 . Thay thế vếtnứt bằng bản lề
then linh hoạt radial của phần được tô sáng của trục với vếtnứt mở được thu được là:
&#--wher101; eYoung Modulus,
Khoảng thời điểm quán tính đường kính của trục,init
mh- hệ số độ cứng của thời điểm liên kết tương đương tương ứng với vếtnứt mở hoàn toàn.

Chức vụ: Product manager
Sở: Market Department
Điện thoại công ty: +86 021-59150215
E-mail: Liên hệ chúng tôi
Điện thoại di động: +86 13817160919
Trang mạng: lanzhusuperalloy.vieinfo.com
Địa chỉ nhà: No. 2800 Caoxin Road, Xuhang Town, Jiading District, Shanghai